Assumptions:
- massless parachute
-
quasi-steady aerodynamics
- implies that the drag of the parachute can be exactly modelled by
- where the V is the instantaneous velocity of air relative to the parachute
- Assume that the free stream speed at the parachute is the same as the body velocity of the rocket
Now we can make a cut in the parachute lines, and we can see that at any given time the tension in the rope is exactly given by the drag force on the parachute. If the massless assumption of the parachute is deemed invalid, this statement needs to change. Else it is exact.
Every manufacturer defines C_D and A differently. It is more reliable to evaluate shock loads based on the terminal velocity that can be found from manufacturers. Often, they will give the terminal velocity as a function of the rocket's mass. We find this velocity by equating the drag at terminal speed to the weight of the rocket
ie,
At deployment the vehicle speed is V_D (for deployment) and must be found by either defining a limit, or by simulating the trajectory.
Now to determine the shock load, we must find the maximum tension in the wire. The maximum tension in the wire will occur when the drag force is maximised. We first simplify the drag force in terms in the flight speed V and the terminal speed V_T.
ie, the maximum shock drag force is the weight of the rocket, multiplied by the square of the deployment speed to terminal speed ratio.
¶ Example
Applied to Sporadic Impulse.
Assume:
- M = 40 kg
- V_T on drogue chute = 30 m/s
- V_T on main chute = 5 m/s (vertical speed, assume no horizontal velocity after deployment of main)
- deployment of the drogue occurs at apogee, but a margin of +- 5 seconds is accounted for. Note that the horizontal speeds are important too, OpenRocket estimated 30m/s
- deployment of the main occurs at about 1500 ft. (but this is irrelevant)
Sizing does not account for the case that the main is deployed if the drogue hasn't deployed. Ie if the drogue has failed the deploy, the main is likely to fail anyways.
-
Drogue Deployment shock:
-
Find the maximum deployment speed of the drogue:
- At apogee, OpenRocket has suggested that the horizontal speed is ~30 m/s (regulations require this speed to be between 23-46 m/s)
- Since there is a margin of +- 5 seconds, the vertical speed can be +- 5*g = +- 50 m/s (ignoring drag)
- therefore the maximum deployment speed of the drogue is sqrt(30^2 + 50^2) = 58.3 m/s ~approx 60 m/s
-
Find the terminal speed after the drogue is deployed:
- This is specified by manufacturers, at 30 m/s (note this is an acceptable, but large speed → ~ 110 km/h or 67 mph)
-
Find the shock load from the drogue deployment
- Load = D = M*g * (V_D/V_T)^2 = 40*9.81*(60/30)^2 = 4 gees = 1.6 kN
-
Find the maximum deployment speed of the drogue:
-
Main Deployment shock:
-
Find the maximum deployment speed of the main
- this is the same as the terminal speed of the drogue = 30 m/s
-
Find the terminal speed under the main chute:
- we assume 5m/s, but can be anywhere between 1-9 m/s.
-
Find the shock load from the main deployment
- Load = D = M*g * (V_D/V_T)^2 = 40*9.81*(30/5)^2 = 36 gees = 14.1 kN
-
Find the maximum deployment speed of the main
Therefore, the shock load from deploying the drogue is 4gees = 1.6 kN, and from the main is 36gees = 14.1 kN.
This is rather large, but we still need to account for a safety factor, and I believe a safety factor of 2 is suitable for this analysis. This would account for the sudden nature of the load, and any other non-linear effects present.
Therefore, essentially the shock cord and eye bolt must be sized for 30 kN, or about 3 tons.
¶ Optimization
This is kinda annoying. The shock load from the drogue is far smaller than that from the main deployment. Let's change the terminal speed on the drogue, and plot the two deployment shock loads.
assuming:
- V_drogue deployment = 60 m/s
- V_terminal_droge = V*
- V_terminal_main = 5 m/s
Therefore,
- drogue shock load is L_drogue = Mg (60/V*)^2
- main shock shock is L_main = Mg (V*/5)^2
Notice to reduce the drogue shock, V* must be increased, but this increases main shock load. As such, we must make them equal to find the minimum shock load overall.
Therefore Mg (60/V*)^2 = Mg (V*/5)^2
therefore
60^2 * 5^2 = V*_opt^4
ie.
V*_opt = sqrt(60*5) = 17.3 m/s
In this case, the loads are 12 gees, or 4.8 kN in both cases.
This is a much smaller load, and definitely far more manageable. It is roughly half the terminal speed of the drogue selected earlier, and therefore the new drogue to be selected should be about four times the area, or 2x the diameter of the current drogue, and confirm the terminal speed of the drogue given our rocket mass is indeed halfed.
Note however, by decreasing the drogue terminal speed, the rocket will likely drift further during descent.
References:
Post 4, https://www.rocketryforum.com/threads/shockcord-question-advice.52631/
¶ Time Dependency
with similar assumptions as above, we can now do a dynamic simulation.
We know the weight of the rocket must be countered by the drag, but as this happens the vehicle will be slowing down, and so the tension in the rope is changing with time.
There are a few different cases:
- the rocket is going straight down and the parachute deploys
- the rocket is going sideways ad the parachute deploys
- the rocket is going up and the parachute deploys
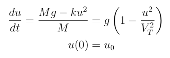
We will model the drag force as a quadratic, so
D = k U^2
therefore to find the terminal speed,
k VT^2 = M g
therefore
D = M g (U/VT^2)
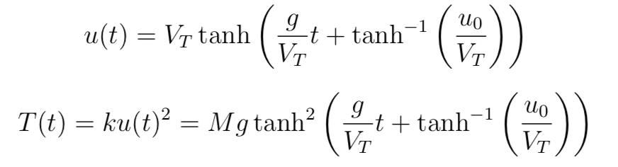
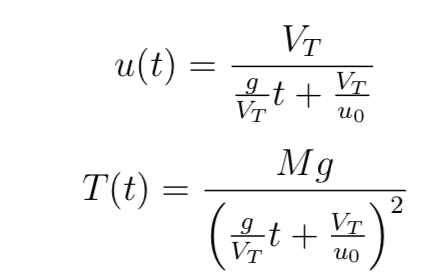
Suppose the rocket is going straight down . Then we have
where positive u implies a speed downwards. Solving this, we get,
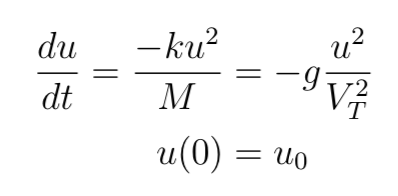
Suppose the rocket is going across when the parachute deploys. If we ignore the increase in speed due to gravity,
and we get
now if we don't ignore the increase in speed due to gravity the equations become far more complicated. Lets figure out if this is a concern in the first place.
Firstly, we can see that all the solutions are parameterised by two values:
where tau is some sort of decay constant (which isn't dependent on the deployment speed (u_0), but only on the terminal speed), and u hat is the relative deployment speed. Therefore, the tension in the ropes is given by
If we plot this in a non-dimensionalized form:
and essentially, the tension in the parachute decays to half its value in about t/tau = 0.1 ~ 0.3. Therefore, assuming its 0.3,
| V_T (m/s) | tau = V_t/g (seconds) | Time to half of max force (seconds) |
|---|---|---|
| 5 | 0.5 | 0.15 |
| 30 | 3.1 | 0.92 |
and we've already found the max forces above,
| u_0/V_t | T/Mg max |
|---|---|
| 2 | 4 |
| 5 | 25 |
Seeing that the decay time is so small, I dont think the coupling of the vertical acceleration in the horizontal deployment case is important, and so these results should hold.
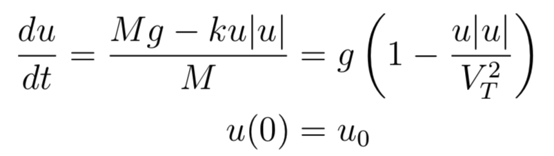
Are you concerned to see what would happen if the parachute deploys early, ie, on the way up?
Still defining the velocity as positive downwards, the equations of motion are (since we always want the velocity to point opposite the direction of motion)
and since these dont have a nice analytic solution, I plotted them numerically for two cases, and we can see that the rocket reaches apogee in about t/tau = 1~2, and that the peak loads are similar to before, we only need to think about the magnitude of u_0/V_T.
ps. non dimensionalization helps us narrow down the large number of parameters in this problem into just the two that matter!